電源模塊外圍電容如何選型?
來源: 發布時間:2020-04-08 09:20:23 1183 次瀏覽
在模塊電源的實際應用中,外接輸入、輸出電容的選取往往會從幾個方面入手:
1. 電容額定耐壓值;
2. 電容的容值;
3. 電容的使用壽命。
下面介紹 1、2 點是如何去選取輸入、輸出電容的。
一、從電容的額定耐壓值去選取
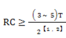
1.AC-DC 整流濾波電容耐壓值選取:在 AC-DC 整流濾波電路中,根據公式

我們能計算出整流后的理論直流電壓的大小。
例如:在輸入 90-265Vac 的整流電路中,通過公式計算可以得出整流后的電壓范圍在 127-375Vdc。根據經驗我們一般會選取耐壓值在 1.1-1.3 倍理論計算電壓值的電容,考慮成本因素有些設計者也會考慮 1.0 倍理論計算電壓值的電容。
2. 在 DC-DC 電源應用中,外接輸入電容的耐壓值我們一般會選用 1.3-1.4 倍耐壓。
例如:輸入電壓為 48V 那我們選用的濾波電容耐壓值就為 63V。原因是 DC-DC 的電源啟動電流大,容易導致二次沖擊電壓過高,從而損壞器件。
二、從輸入電容的容值選取
在許多文獻中,對于濾波電容 C 的選取,多使用經驗公式:

并認為濾波電容 C 越大越好;在一些濾波電路的維修中,技術人員經常用比原電路容量大的電容來代替已壞掉的電容。
從理論上講,增大電路中的濾波電容 C 容量的確可以使輸出電壓的波形變得更為平滑、起伏更小,但在電路接通瞬間,電路中所產生的沖擊電流因素卻不能被忽略;在一些濾波電路的維修中對濾波電容的替換也存在沖擊電流的問題,在不更換其他元件的前提下,單純提高濾波電容的容量會使整個電路的實際使用壽命大大縮短,甚至燒毀整個電路。況且,
三、輸出電容的選取
輸出電容的選取,一般考慮的因素是電源的輸出紋波噪聲和電源的負載能力(容性負載)。在成本允許的情況下,很多人都會認為外接輸出濾波電容是越大,可以減小紋波噪聲干擾,對系統供電更為穩,這是一種錯誤的觀念。
輸出濾波的電容的選取,不單單是考慮紋波噪聲因數,還要考慮模塊電源的啟動能力和承受輸入沖擊電流的能力。外接輸出電容容值在一定大小的時候對紋波噪聲起到減小作用,但隨著外接電容的不斷增大紋波噪聲會處于一個平衡值。反觀輸入電流波形,在輸出電容增大情況下啟動時,輸入電流維持在大電流時間會越長。假如使用的模塊抗輸入沖擊電流小,這樣就可能導致模塊在一定時間下受沖擊電流過大而損壞。所以外接輸出電容也不是越大越好,這要根據模塊的啟動能力和承受電流沖擊能力來選定的。
在模塊電源的使用過程中合理外接輸入、輸出電容是對模塊模塊電容的一種保護,同時也大大提高了電源的使用壽命,減小了因電源輸入、輸出不穩定而帶給整個工作系統存在的不必要隱患。
卓軒電子電源模塊的優勢:在電源模塊產品說明中都會給客戶詳細推薦最為合適的外圍電路和外接電容的容值大小,有效的保證了模塊在應用場合下的最佳環境,同時也保證了客戶使用的安全性和可靠性。避免了因外接電容選型不對帶來給模塊和整個系統的損失。
卓軒電子自主研發、生產的隔離電源模塊多年行業積累,目前產品具有寬輸入電壓范圍,隔離 1000VDC、1500VDC、3000VDC 及 6000VDC 等多個系列,封裝形式多樣,兼容國際標準的 SIP、DIP 等封裝。同時卓軒電子為保證電源產品性能建設了行業內一流的測試實驗室,配備最先進、齊全的測試設備,全系列隔離 DC-DC 電源通過完整的 EMC 測試,靜電抗擾度高達 4KV、浪涌抗擾度高達 2KV,可應用于絕大部分復雜惡劣的工業現場,為用戶提供穩定、可靠的電源隔離解決方案。
1. 電容額定耐壓值;
2. 電容的容值;
3. 電容的使用壽命。
下面介紹 1、2 點是如何去選取輸入、輸出電容的。
一、從電容的額定耐壓值去選取
1.AC-DC 整流濾波電容耐壓值選取:在 AC-DC 整流濾波電路中,根據公式

我們能計算出整流后的理論直流電壓的大小。
例如:在輸入 90-265Vac 的整流電路中,通過公式計算可以得出整流后的電壓范圍在 127-375Vdc。根據經驗我們一般會選取耐壓值在 1.1-1.3 倍理論計算電壓值的電容,考慮成本因素有些設計者也會考慮 1.0 倍理論計算電壓值的電容。
2. 在 DC-DC 電源應用中,外接輸入電容的耐壓值我們一般會選用 1.3-1.4 倍耐壓。
例如:輸入電壓為 48V 那我們選用的濾波電容耐壓值就為 63V。原因是 DC-DC 的電源啟動電流大,容易導致二次沖擊電壓過高,從而損壞器件。
二、從輸入電容的容值選取
在許多文獻中,對于濾波電容 C 的選取,多使用經驗公式:

并認為濾波電容 C 越大越好;在一些濾波電路的維修中,技術人員經常用比原電路容量大的電容來代替已壞掉的電容。
從理論上講,增大電路中的濾波電容 C 容量的確可以使輸出電壓的波形變得更為平滑、起伏更小,但在電路接通瞬間,電路中所產生的沖擊電流因素卻不能被忽略;在一些濾波電路的維修中對濾波電容的替換也存在沖擊電流的問題,在不更換其他元件的前提下,單純提高濾波電容的容量會使整個電路的實際使用壽命大大縮短,甚至燒毀整個電路。況且,
三、輸出電容的選取
輸出電容的選取,一般考慮的因素是電源的輸出紋波噪聲和電源的負載能力(容性負載)。在成本允許的情況下,很多人都會認為外接輸出濾波電容是越大,可以減小紋波噪聲干擾,對系統供電更為穩,這是一種錯誤的觀念。
輸出濾波的電容的選取,不單單是考慮紋波噪聲因數,還要考慮模塊電源的啟動能力和承受輸入沖擊電流的能力。外接輸出電容容值在一定大小的時候對紋波噪聲起到減小作用,但隨著外接電容的不斷增大紋波噪聲會處于一個平衡值。反觀輸入電流波形,在輸出電容增大情況下啟動時,輸入電流維持在大電流時間會越長。假如使用的模塊抗輸入沖擊電流小,這樣就可能導致模塊在一定時間下受沖擊電流過大而損壞。所以外接輸出電容也不是越大越好,這要根據模塊的啟動能力和承受電流沖擊能力來選定的。
在模塊電源的使用過程中合理外接輸入、輸出電容是對模塊模塊電容的一種保護,同時也大大提高了電源的使用壽命,減小了因電源輸入、輸出不穩定而帶給整個工作系統存在的不必要隱患。
卓軒電子電源模塊的優勢:在電源模塊產品說明中都會給客戶詳細推薦最為合適的外圍電路和外接電容的容值大小,有效的保證了模塊在應用場合下的最佳環境,同時也保證了客戶使用的安全性和可靠性。避免了因外接電容選型不對帶來給模塊和整個系統的損失。
卓軒電子自主研發、生產的隔離電源模塊多年行業積累,目前產品具有寬輸入電壓范圍,隔離 1000VDC、1500VDC、3000VDC 及 6000VDC 等多個系列,封裝形式多樣,兼容國際標準的 SIP、DIP 等封裝。同時卓軒電子為保證電源產品性能建設了行業內一流的測試實驗室,配備最先進、齊全的測試設備,全系列隔離 DC-DC 電源通過完整的 EMC 測試,靜電抗擾度高達 4KV、浪涌抗擾度高達 2KV,可應用于絕大部分復雜惡劣的工業現場,為用戶提供穩定、可靠的電源隔離解決方案。


